
Proszę o pomoc z potęgami...
Witam. Siedzę nad zadaniem, ale ja nie ogarniam potęg... Wszystko, ale nie potęgi. Pewnie trzeba to doprowadzić do wspólnych liczb na górze i na dole, no ale nie idzie mi to. Pomoże ktoś :)
To proste na dole i na górze masz mnożenie tzn. Musisz skrócić potęgi.
czworki sprowadz do dwojek np. 4 do pot. 15 to [(2)^2] do pot. 15, czyli 2 do 30
dziewiatke do 3, czyli [(3)^2)] do pot.9, czyli 3 do 18
osemke do 2, 27 do 3
edit. dwa razy 9 to oczywiscie 18
To proste. Na dole i na górze masz mnożenie tzn. Możesz dodać potęgi, lub zkrucić potęgi.
Zawsze starasz sie wszystko sprowadzic do takich samych podstaw. Gora:
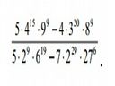
5 * 4^15 * 9^9 - 4 * 3^20 * 8^9 =
5 * (2^2)^15 * (3^2)^9 - 2^2 * 3^20 * (2^3)^9 =
5 * 2^30 * 3^18 - 2^2 * 3^20 * 2^27 =
5 * 2^30 * 3^18 - 2^28 * 3^20
Teraz wspolne czesci przed nawias, uproscic i gora zrobiona.
.
Edit: Ok źle było. :) Czyli wracam do:
Góra: 5 * 2^30 * 3^18 - 2^29 * 3^20
Dół: 5 * 2^9 * 6^19 - 7 * 2^29 * 3^18
I stoję tu i myślę.